Abstract The aim of the study was to test, whether bone material strength differs between different subtypes of osteoporotic fracture and assess whether it relates to vertebral fracture severity. Cortical bone material strength index (BMSi) was measured by impact microindentation in 66 women with osteoporotic fracture and 66 age- and […]
BONE MATERIAL STRENGTH
Abstract BACKGROUND: Bone mineral density (BMD) measured by dual-energy x-ray absorptiometry is used to assess bone health in kidney transplant recipients (KTR). Trabecular bone score and in vivo microindentation are novel techniques that directly measure trabecular microarchitecture and mechanical properties of bone at a tissue level and independently predict fracture […]
Abstract Type 2 diabetes mellitus (T2DM) is associated with an increased risk of fractures according to several studies. The underlying mechanisms remain unclear, although small case-control studies indicate poor quality of the cortical bone. We have studied a population-based sample of women aged 75 to 80 years in Gothenburg, randomly […]
Abstract OBJECTIVE: Acromegaly is a rare disease caused by excess growth hormone (GH) production by the pituitary adenoma. The skeletal complications of GH and IGF-1 excess include increased bone turnover, increased cortical bone mass and deteriorated microarchitecture of trabecular bone, associated with a high risk of vertebral fractures in the […]
Abstract Background and purpose — Bone fragility is determined by bone mass, bone architecture, and the material properties of bone. Microindentation has been introduced as a measurement method that reflects bone material properties. The pathogenesis of underlying stress fractures, in particular the role of impaired bone material properties, is still […]
Abstract Low bone mineral density (BMD) in HIV-infected individuals has been documented in an increasing number of studies. However, it is not clear whether it is the infection itself or the treatment that causes bone impairment. Microindentation measures bone material strength (Bone Material Strength index) directly. We recruited 85 patients, […]
Abstract CONTEXT: Skeletal deterioration, leading to an increased risk of fracture, is a known complication of type 2 diabetes mellitus (T2D). Yet plausible mechanisms to account for skeletal fragility in T2D have not been clearly established. OBJECTIVE: The objective of the study was to determine whether bone material properties, as […]
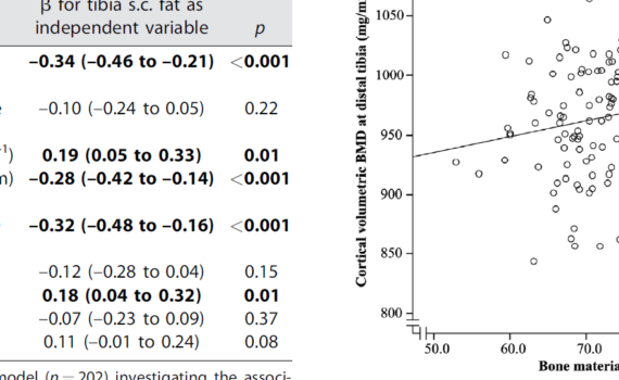
Abstract Obesity is associated with increased risk of fractures, especially at skeletal sites with a large proportion of cortical bone, such as the humerus and ankle. Obesity increases fracture risk independently of BMD, indicating that increased adipose tissue could have negative effects on bone quality. Microindentation assesses bone material strength […]
Abstract Reference point indentation is a novel method to assess bone material strength index (BMSi) in vivo. We found that BMSi at the mid-tibia was weakly associated with spine and hip areal bone mineral density but not with prevalent fracture in a population-based cohort of 211 older women. INTRODUCTION: Reference […]
Abstract Glucocorticoids, widely used in inflammatory disorders, rapidly increase bone fragility and, therefore, fracture risk. However, common bone densitometry measurements are not sensitive enough to detect these changes. Moreover, densitometry only partially recognizes treatment-induced fracture reductions in osteoporosis. Here, we tested whether the reference point indentation technique could detect bone […]